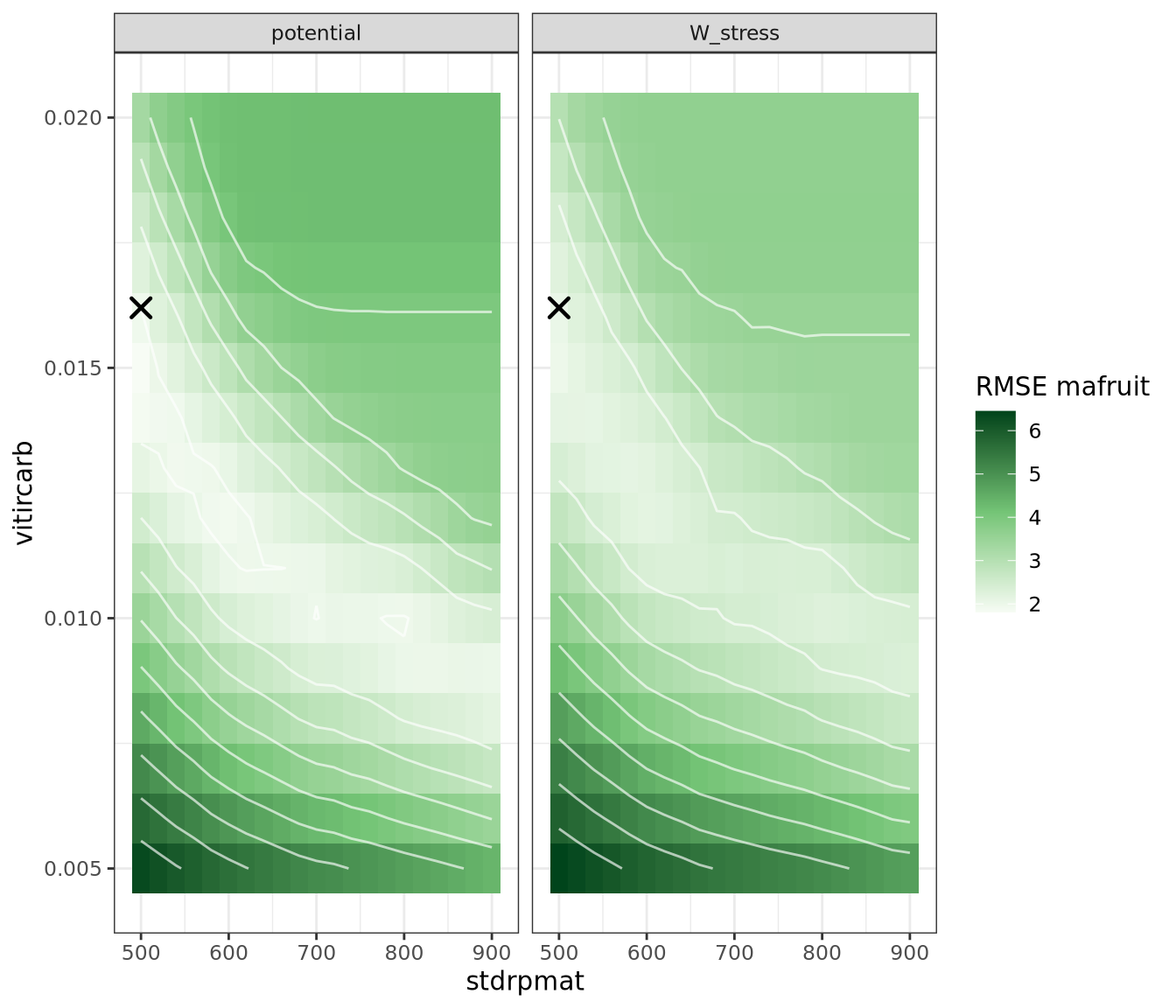
mafruit en fonction de stdrpmat et vitircarb, facettée par run set.
| stdrpmat | vitircarb | run_set | mafruit_mean | mafruit_sd |
|---|---|---|---|---|
| 500 | 0.005 | potential | 3.0730 | 0.4839 |
| 520 | 0.005 | potential | 3.2170 | 0.5251 |
| 540 | 0.005 | potential | 3.3687 | 0.5573 |
| 560 | 0.005 | potential | 3.5257 | 0.5615 |
| 580 | 0.005 | potential | 3.6839 | 0.5813 |
| 600 | 0.005 | potential | 3.8099 | 0.5674 |
| 620 | 0.005 | potential | 3.9442 | 0.5902 |
| 640 | 0.005 | potential | 4.0543 | 0.6485 |
| 660 | 0.005 | potential | 4.1661 | 0.6973 |
| 680 | 0.005 | potential | 4.2811 | 0.7311 |
| 700 | 0.005 | potential | 4.3742 | 0.7175 |
| 720 | 0.005 | potential | 4.4475 | 0.7559 |
| 740 | 0.005 | potential | 4.5474 | 0.7617 |
| 760 | 0.005 | potential | 4.6271 | 0.7537 |
| 780 | 0.005 | potential | 4.6917 | 0.7650 |
| 800 | 0.005 | potential | 4.7792 | 0.7923 |
| 820 | 0.005 | potential | 4.8557 | 0.8250 |
| 840 | 0.005 | potential | 4.9443 | 0.8435 |
| 860 | 0.005 | potential | 5.0426 | 0.8618 |
| 880 | 0.005 | potential | 5.1243 | 0.8677 |
| 900 | 0.005 | potential | 5.2066 | 0.8634 |
| 500 | 0.006 | potential | 3.6875 | 0.5807 |
| 520 | 0.006 | potential | 3.8604 | 0.6301 |
| 540 | 0.006 | potential | 4.0424 | 0.6687 |
| 560 | 0.006 | potential | 4.2307 | 0.6738 |
| 580 | 0.006 | potential | 4.4205 | 0.6975 |
| 600 | 0.006 | potential | 4.5716 | 0.6808 |
| 620 | 0.006 | potential | 4.7327 | 0.7081 |
| 640 | 0.006 | potential | 4.8649 | 0.7781 |
| 660 | 0.006 | potential | 4.9989 | 0.8366 |
| 680 | 0.006 | potential | 5.1369 | 0.8772 |
| 700 | 0.006 | potential | 5.2485 | 0.8609 |
| 720 | 0.006 | potential | 5.3365 | 0.9069 |
| 740 | 0.006 | potential | 5.4560 | 0.9137 |
| 760 | 0.006 | potential | 5.5413 | 0.9037 |
| 780 | 0.006 | potential | 5.6290 | 0.9174 |
| 800 | 0.006 | potential | 5.7332 | 0.9497 |
| 820 | 0.006 | potential | 5.8234 | 0.9876 |
| 840 | 0.006 | potential | 5.9297 | 1.0096 |
| 860 | 0.006 | potential | 6.0475 | 1.0313 |
| 880 | 0.006 | potential | 6.1455 | 1.0381 |
| 900 | 0.006 | potential | 6.2441 | 1.0325 |
| 500 | 0.007 | potential | 4.3021 | 0.6775 |
| 520 | 0.007 | potential | 4.5038 | 0.7351 |
| 540 | 0.007 | potential | 4.7160 | 0.7802 |
| 560 | 0.007 | potential | 4.9357 | 0.7861 |
| 580 | 0.007 | potential | 5.1572 | 0.8137 |
| 600 | 0.007 | potential | 5.3334 | 0.7942 |
| 620 | 0.007 | potential | 5.5213 | 0.8260 |
| 640 | 0.007 | potential | 5.6754 | 0.9077 |
| 660 | 0.007 | potential | 5.8316 | 0.9758 |
| 680 | 0.007 | potential | 5.9926 | 1.0233 |
| 700 | 0.007 | potential | 6.1225 | 1.0040 |
| 720 | 0.007 | potential | 6.2252 | 1.0578 |
| 740 | 0.007 | potential | 6.3642 | 1.0654 |
| 760 | 0.007 | potential | 6.4637 | 1.0539 |
| 780 | 0.007 | potential | 6.5653 | 1.0694 |
| 800 | 0.007 | potential | 6.6862 | 1.1066 |
| 820 | 0.007 | potential | 6.7914 | 1.1506 |
| 840 | 0.007 | potential | 6.9152 | 1.1760 |
| 860 | 0.007 | potential | 7.0525 | 1.2011 |
| 880 | 0.007 | potential | 7.1667 | 1.2088 |
| 900 | 0.007 | potential | 7.2817 | 1.2020 |
| 500 | 0.008 | potential | 4.9166 | 0.7742 |
| 520 | 0.008 | potential | 5.1470 | 0.8402 |
| 540 | 0.008 | potential | 5.3896 | 0.8916 |
| 560 | 0.008 | potential | 5.6407 | 0.8983 |
| 580 | 0.008 | potential | 5.8928 | 0.9300 |
| 600 | 0.008 | potential | 6.0930 | 0.9076 |
| 620 | 0.008 | potential | 6.2931 | 0.9457 |
| 640 | 0.008 | potential | 6.4691 | 1.0417 |
| 660 | 0.008 | potential | 6.6601 | 1.1161 |
| 680 | 0.008 | potential | 6.8312 | 1.1755 |
| 700 | 0.008 | potential | 6.9793 | 1.1556 |
| 720 | 0.008 | potential | 7.0964 | 1.2153 |
| 740 | 0.008 | potential | 7.2534 | 1.2253 |
| 760 | 0.008 | potential | 7.3670 | 1.2111 |
| 780 | 0.008 | potential | 7.4672 | 1.2206 |
| 800 | 0.008 | potential | 7.6183 | 1.2663 |
| 820 | 0.008 | potential | 7.7509 | 1.3118 |
| 840 | 0.008 | potential | 7.8660 | 1.3316 |
| 860 | 0.008 | potential | 8.0227 | 1.3585 |
| 880 | 0.008 | potential | 8.1530 | 1.3676 |
| 900 | 0.008 | potential | 8.2975 | 1.3700 |
| 500 | 0.009 | potential | 5.5310 | 0.8710 |
| 520 | 0.009 | potential | 5.7902 | 0.9452 |
| 540 | 0.009 | potential | 6.0631 | 1.0030 |
| 560 | 0.009 | potential | 6.3454 | 1.0106 |
| 580 | 0.009 | potential | 6.6289 | 1.0461 |
| 600 | 0.009 | potential | 6.8538 | 1.0208 |
| 620 | 0.009 | potential | 7.0784 | 1.0634 |
| 640 | 0.009 | potential | 7.2759 | 1.1711 |
| 660 | 0.009 | potential | 7.4719 | 1.2472 |
| 680 | 0.009 | potential | 7.6825 | 1.3216 |
| 700 | 0.009 | potential | 7.8476 | 1.2980 |
| 720 | 0.009 | potential | 7.9793 | 1.3658 |
| 740 | 0.009 | potential | 8.1390 | 1.3712 |
| 760 | 0.009 | potential | 8.2668 | 1.3573 |
| 780 | 0.009 | potential | 8.3940 | 1.3715 |
| 800 | 0.009 | potential | 8.5488 | 1.4159 |
| 820 | 0.009 | potential | 8.6977 | 1.4656 |
| 840 | 0.009 | potential | 8.8418 | 1.4948 |
| 860 | 0.009 | potential | 9.0177 | 1.5246 |
| 880 | 0.009 | potential | 9.1641 | 1.5341 |
| 900 | 0.009 | potential | 9.3115 | 1.5248 |
| 500 | 0.010 | potential | 6.1449 | 0.9677 |
| 520 | 0.010 | potential | 6.4326 | 1.0500 |
| 540 | 0.010 | potential | 6.7357 | 1.1146 |
| 560 | 0.010 | potential | 7.0487 | 1.1231 |
| 580 | 0.010 | potential | 7.3637 | 1.1625 |
| 600 | 0.010 | potential | 7.6135 | 1.1343 |
| 620 | 0.010 | potential | 7.8631 | 1.1821 |
| 640 | 0.010 | potential | 8.0821 | 1.3019 |
| 660 | 0.010 | potential | 8.2998 | 1.3864 |
| 680 | 0.010 | potential | 8.5331 | 1.4690 |
| 700 | 0.010 | potential | 8.7146 | 1.4422 |
| 720 | 0.010 | potential | 8.8610 | 1.5176 |
| 740 | 0.010 | potential | 9.0385 | 1.5243 |
| 760 | 0.010 | potential | 9.1965 | 1.5117 |
| 780 | 0.010 | potential | 9.3378 | 1.5286 |
| 800 | 0.010 | potential | 9.5097 | 1.5785 |
| 820 | 0.010 | potential | 9.6750 | 1.6340 |
| 840 | 0.010 | potential | 9.8350 | 1.6671 |
| 860 | 0.010 | potential | 10.0304 | 1.7006 |
| 880 | 0.010 | potential | 10.1929 | 1.7123 |
| 900 | 0.010 | potential | 10.3567 | 1.7031 |
| 500 | 0.011 | potential | 6.7594 | 1.0645 |
| 520 | 0.011 | potential | 7.0758 | 1.1550 |
| 540 | 0.011 | potential | 7.4092 | 1.2261 |
| 560 | 0.011 | potential | 7.7536 | 1.2354 |
| 580 | 0.011 | potential | 8.1000 | 1.2788 |
| 600 | 0.011 | potential | 8.3745 | 1.2477 |
| 620 | 0.011 | potential | 8.6485 | 1.3000 |
| 640 | 0.011 | potential | 8.8895 | 1.4317 |
| 660 | 0.011 | potential | 9.1289 | 1.5249 |
| 680 | 0.011 | potential | 9.3855 | 1.6157 |
| 700 | 0.011 | potential | 9.5851 | 1.5860 |
| 720 | 0.011 | potential | 9.7462 | 1.6691 |
| 740 | 0.011 | potential | 9.9414 | 1.6766 |
| 760 | 0.011 | potential | 10.1152 | 1.6627 |
| 780 | 0.011 | potential | 10.2706 | 1.6811 |
| 800 | 0.011 | potential | 10.4597 | 1.7360 |
| 820 | 0.011 | potential | 10.6414 | 1.7969 |
| 840 | 0.011 | potential | 10.8174 | 1.8332 |
| 860 | 0.011 | potential | 11.0216 | 1.8549 |
| 880 | 0.011 | potential | 11.1826 | 1.8427 |
| 900 | 0.011 | potential | 11.3627 | 1.8353 |
| 500 | 0.012 | potential | 7.3739 | 1.1612 |
| 520 | 0.012 | potential | 7.7190 | 1.2600 |
| 540 | 0.012 | potential | 8.0828 | 1.3375 |
| 560 | 0.012 | potential | 8.4583 | 1.3477 |
| 580 | 0.012 | potential | 8.8361 | 1.3949 |
| 600 | 0.012 | potential | 9.1356 | 1.3610 |
| 620 | 0.012 | potential | 9.4345 | 1.4180 |
| 640 | 0.012 | potential | 9.6975 | 1.5616 |
| 660 | 0.012 | potential | 9.9587 | 1.6634 |
| 680 | 0.012 | potential | 10.2327 | 1.7510 |
| 700 | 0.012 | potential | 10.4505 | 1.7192 |
| 720 | 0.012 | potential | 10.6087 | 1.7762 |
| 740 | 0.012 | potential | 10.8236 | 1.7887 |
| 760 | 0.012 | potential | 11.0133 | 1.7765 |
| 780 | 0.012 | potential | 11.1829 | 1.8000 |
| 800 | 0.012 | potential | 11.3792 | 1.8516 |
| 820 | 0.012 | potential | 11.5582 | 1.8974 |
| 840 | 0.012 | potential | 11.7089 | 1.8960 |
| 860 | 0.012 | potential | 11.8965 | 1.8971 |
| 880 | 0.012 | potential | 12.0342 | 1.8732 |
| 900 | 0.012 | potential | 12.1026 | 1.8586 |
| 500 | 0.013 | potential | 7.9883 | 1.2580 |
| 520 | 0.013 | potential | 8.3623 | 1.3650 |
| 540 | 0.013 | potential | 8.7563 | 1.4490 |
| 560 | 0.013 | potential | 9.1630 | 1.4600 |
| 580 | 0.013 | potential | 9.5723 | 1.5112 |
| 600 | 0.013 | potential | 9.8967 | 1.4744 |
| 620 | 0.013 | potential | 10.2205 | 1.5361 |
| 640 | 0.013 | potential | 10.4753 | 1.6303 |
| 660 | 0.013 | potential | 10.7372 | 1.7061 |
| 680 | 0.013 | potential | 11.0194 | 1.7856 |
| 700 | 0.013 | potential | 11.2513 | 1.7564 |
| 720 | 0.013 | potential | 11.4227 | 1.8288 |
| 740 | 0.013 | potential | 11.6284 | 1.8213 |
| 760 | 0.013 | potential | 11.8027 | 1.7765 |
| 780 | 0.013 | potential | 11.9765 | 1.8093 |
| 800 | 0.013 | potential | 12.1327 | 1.8327 |
| 820 | 0.013 | potential | 12.2534 | 1.8529 |
| 840 | 0.013 | potential | 12.3353 | 1.8029 |
| 860 | 0.013 | potential | 12.3650 | 1.7468 |
| 880 | 0.013 | potential | 12.3841 | 1.6882 |
| 900 | 0.013 | potential | 12.4032 | 1.6313 |
| 500 | 0.014 | potential | 8.6028 | 1.3548 |
| 520 | 0.014 | potential | 9.0054 | 1.4700 |
| 540 | 0.014 | potential | 9.4297 | 1.5604 |
| 560 | 0.014 | potential | 9.8678 | 1.5723 |
| 580 | 0.014 | potential | 10.3059 | 1.6220 |
| 600 | 0.014 | potential | 10.6326 | 1.5364 |
| 620 | 0.014 | potential | 10.9588 | 1.5641 |
| 640 | 0.014 | potential | 11.2203 | 1.6538 |
| 660 | 0.014 | potential | 11.5024 | 1.7507 |
| 680 | 0.014 | potential | 11.7840 | 1.8291 |
| 700 | 0.014 | potential | 12.0176 | 1.7926 |
| 720 | 0.014 | potential | 12.1303 | 1.8124 |
| 740 | 0.014 | potential | 12.2518 | 1.7698 |
| 760 | 0.014 | potential | 12.3397 | 1.7116 |
| 780 | 0.014 | potential | 12.4343 | 1.7145 |
| 800 | 0.014 | potential | 12.4859 | 1.6887 |
| 820 | 0.014 | potential | 12.4922 | 1.6887 |
| 840 | 0.014 | potential | 12.5128 | 1.6198 |
| 860 | 0.014 | potential | 12.5186 | 1.6004 |
| 880 | 0.014 | potential | 12.5186 | 1.6004 |
| 900 | 0.014 | potential | 12.5186 | 1.6004 |
| 500 | 0.015 | potential | 9.2172 | 1.4515 |
| 520 | 0.015 | potential | 9.6486 | 1.5750 |
| 540 | 0.015 | potential | 10.1032 | 1.6719 |
| 560 | 0.015 | potential | 10.5423 | 1.6237 |
| 580 | 0.015 | potential | 10.9856 | 1.6352 |
| 600 | 0.015 | potential | 11.3357 | 1.5509 |
| 620 | 0.015 | potential | 11.6851 | 1.5956 |
| 640 | 0.015 | potential | 11.9587 | 1.7000 |
| 660 | 0.015 | potential | 12.1887 | 1.7522 |
| 680 | 0.015 | potential | 12.3466 | 1.7517 |
| 700 | 0.015 | potential | 12.4859 | 1.6633 |
| 720 | 0.015 | potential | 12.5404 | 1.6670 |
| 740 | 0.015 | potential | 12.5918 | 1.6011 |
| 760 | 0.015 | potential | 12.6296 | 1.5197 |
| 780 | 0.015 | potential | 12.6363 | 1.5187 |
| 800 | 0.015 | potential | 12.6524 | 1.5029 |
| 820 | 0.015 | potential | 12.6524 | 1.5029 |
| 840 | 0.015 | potential | 12.6524 | 1.5029 |
| 860 | 0.015 | potential | 12.6524 | 1.5029 |
| 880 | 0.015 | potential | 12.6524 | 1.5029 |
| 900 | 0.015 | potential | 12.6524 | 1.5029 |
| 500 | 0.016 | potential | 9.8316 | 1.5483 |
| 520 | 0.016 | potential | 10.2761 | 1.6472 |
| 540 | 0.016 | potential | 10.7246 | 1.6839 |
| 560 | 0.016 | potential | 11.1924 | 1.6440 |
| 580 | 0.016 | potential | 11.6652 | 1.6728 |
| 600 | 0.016 | potential | 12.0386 | 1.5920 |
| 620 | 0.016 | potential | 12.3501 | 1.6090 |
| 640 | 0.016 | potential | 12.4862 | 1.6252 |
| 660 | 0.016 | potential | 12.6208 | 1.6467 |
| 680 | 0.016 | potential | 12.7072 | 1.6316 |
| 700 | 0.016 | potential | 12.7684 | 1.5119 |
| 720 | 0.016 | potential | 12.7779 | 1.5106 |
| 740 | 0.016 | potential | 12.7867 | 1.4769 |
| 760 | 0.016 | potential | 12.7867 | 1.4769 |
| 780 | 0.016 | potential | 12.7934 | 1.4790 |
| 800 | 0.016 | potential | 12.7934 | 1.4790 |
| 820 | 0.016 | potential | 12.7934 | 1.4790 |
| 840 | 0.016 | potential | 12.7934 | 1.4790 |
| 860 | 0.016 | potential | 12.7934 | 1.4790 |
| 880 | 0.016 | potential | 12.7934 | 1.4790 |
| 900 | 0.016 | potential | 12.7934 | 1.4790 |
| 500 | 0.017 | potential | 10.4439 | 1.6408 |
| 520 | 0.017 | potential | 10.8690 | 1.6595 |
| 540 | 0.017 | potential | 11.3456 | 1.7151 |
| 560 | 0.017 | potential | 11.8114 | 1.6480 |
| 580 | 0.017 | potential | 12.2996 | 1.6948 |
| 600 | 0.017 | potential | 12.5842 | 1.5551 |
| 620 | 0.017 | potential | 12.7357 | 1.5000 |
| 640 | 0.017 | potential | 12.8084 | 1.5100 |
| 660 | 0.017 | potential | 12.8620 | 1.5241 |
| 680 | 0.017 | potential | 12.8970 | 1.4929 |
| 700 | 0.017 | potential | 12.9200 | 1.4799 |
| 720 | 0.017 | potential | 12.9200 | 1.4799 |
| 740 | 0.017 | potential | 12.9200 | 1.4799 |
| 760 | 0.017 | potential | 12.9200 | 1.4799 |
| 780 | 0.017 | potential | 12.9200 | 1.4799 |
| 800 | 0.017 | potential | 12.9200 | 1.4799 |
| 820 | 0.017 | potential | 12.9200 | 1.4799 |
| 840 | 0.017 | potential | 12.9200 | 1.4799 |
| 860 | 0.017 | potential | 12.9200 | 1.4799 |
| 880 | 0.017 | potential | 12.9200 | 1.4799 |
| 900 | 0.017 | potential | 12.9200 | 1.4799 |
| 500 | 0.018 | potential | 11.0118 | 1.6564 |
| 520 | 0.018 | potential | 11.4619 | 1.6903 |
| 540 | 0.018 | potential | 11.9275 | 1.7208 |
| 560 | 0.018 | potential | 12.3737 | 1.6329 |
| 580 | 0.018 | potential | 12.6825 | 1.5978 |
| 600 | 0.018 | potential | 12.8540 | 1.4205 |
| 620 | 0.018 | potential | 12.9572 | 1.3840 |
| 640 | 0.018 | potential | 12.9690 | 1.3882 |
| 660 | 0.018 | potential | 12.9690 | 1.3882 |
| 680 | 0.018 | potential | 12.9783 | 1.3816 |
| 700 | 0.018 | potential | 12.9920 | 1.3740 |
| 720 | 0.018 | potential | 12.9920 | 1.3740 |
| 740 | 0.018 | potential | 12.9920 | 1.3740 |
| 760 | 0.018 | potential | 12.9920 | 1.3740 |
| 780 | 0.018 | potential | 12.9920 | 1.3740 |
| 800 | 0.018 | potential | 12.9920 | 1.3740 |
| 820 | 0.018 | potential | 12.9920 | 1.3740 |
| 840 | 0.018 | potential | 12.9920 | 1.3740 |
| 860 | 0.018 | potential | 12.9920 | 1.3740 |
| 880 | 0.018 | potential | 12.9920 | 1.3740 |
| 900 | 0.018 | potential | 12.9920 | 1.3740 |
| 500 | 0.019 | potential | 11.5769 | 1.6855 |
| 520 | 0.019 | potential | 12.0099 | 1.6880 |
| 540 | 0.019 | potential | 12.4305 | 1.6982 |
| 560 | 0.019 | potential | 12.7045 | 1.5225 |
| 580 | 0.019 | potential | 12.8471 | 1.4683 |
| 600 | 0.019 | potential | 12.9669 | 1.2905 |
| 620 | 0.019 | potential | 12.9958 | 1.2813 |
| 640 | 0.019 | potential | 12.9958 | 1.2813 |
| 660 | 0.019 | potential | 12.9958 | 1.2813 |
| 680 | 0.019 | potential | 13.0052 | 1.2753 |
| 700 | 0.019 | potential | 13.0189 | 1.2685 |
| 720 | 0.019 | potential | 13.0189 | 1.2685 |
| 740 | 0.019 | potential | 13.0189 | 1.2685 |
| 760 | 0.019 | potential | 13.0189 | 1.2685 |
| 780 | 0.019 | potential | 13.0189 | 1.2685 |
| 800 | 0.019 | potential | 13.0189 | 1.2685 |
| 820 | 0.019 | potential | 13.0189 | 1.2685 |
| 840 | 0.019 | potential | 13.0189 | 1.2685 |
| 860 | 0.019 | potential | 13.0189 | 1.2685 |
| 880 | 0.019 | potential | 13.0189 | 1.2685 |
| 900 | 0.019 | potential | 13.0189 | 1.2685 |
| 500 | 0.020 | potential | 12.0732 | 1.6675 |
| 520 | 0.020 | potential | 12.4406 | 1.6386 |
| 540 | 0.020 | potential | 12.6514 | 1.5706 |
| 560 | 0.020 | potential | 12.8344 | 1.3940 |
| 580 | 0.020 | potential | 12.9224 | 1.3622 |
| 600 | 0.020 | potential | 12.9843 | 1.2026 |
| 620 | 0.020 | potential | 13.0076 | 1.1877 |
| 640 | 0.020 | potential | 13.0076 | 1.1877 |
| 660 | 0.020 | potential | 13.0076 | 1.1877 |
| 680 | 0.020 | potential | 13.0170 | 1.1803 |
| 700 | 0.020 | potential | 13.0307 | 1.1716 |
| 720 | 0.020 | potential | 13.0307 | 1.1716 |
| 740 | 0.020 | potential | 13.0307 | 1.1716 |
| 760 | 0.020 | potential | 13.0307 | 1.1716 |
| 780 | 0.020 | potential | 13.0307 | 1.1716 |
| 800 | 0.020 | potential | 13.0307 | 1.1716 |
| 820 | 0.020 | potential | 13.0307 | 1.1716 |
| 840 | 0.020 | potential | 13.0307 | 1.1716 |
| 860 | 0.020 | potential | 13.0307 | 1.1716 |
| 880 | 0.020 | potential | 13.0307 | 1.1716 |
| 900 | 0.020 | potential | 13.0307 | 1.1716 |
| 500 | 0.005 | W_stress | 2.9283 | 0.6710 |
| 520 | 0.005 | W_stress | 3.0602 | 0.7183 |
| 540 | 0.005 | W_stress | 3.1901 | 0.7677 |
| 560 | 0.005 | W_stress | 3.3341 | 0.7871 |
| 580 | 0.005 | W_stress | 3.4641 | 0.8291 |
| 600 | 0.005 | W_stress | 3.5848 | 0.8424 |
| 620 | 0.005 | W_stress | 3.6899 | 0.8947 |
| 640 | 0.005 | W_stress | 3.7906 | 0.9555 |
| 660 | 0.005 | W_stress | 3.9014 | 1.0103 |
| 680 | 0.005 | W_stress | 3.9898 | 1.0599 |
| 700 | 0.005 | W_stress | 4.0608 | 1.0650 |
| 720 | 0.005 | W_stress | 4.1423 | 1.0957 |
| 740 | 0.005 | W_stress | 4.2131 | 1.1335 |
| 760 | 0.005 | W_stress | 4.2759 | 1.1369 |
| 780 | 0.005 | W_stress | 4.3319 | 1.1517 |
| 800 | 0.005 | W_stress | 4.4082 | 1.1671 |
| 820 | 0.005 | W_stress | 4.4856 | 1.1852 |
| 840 | 0.005 | W_stress | 4.5735 | 1.2021 |
| 860 | 0.005 | W_stress | 4.6619 | 1.2229 |
| 880 | 0.005 | W_stress | 4.7479 | 1.2246 |
| 900 | 0.005 | W_stress | 4.8017 | 1.2420 |
| 500 | 0.006 | W_stress | 3.5139 | 0.8053 |
| 520 | 0.006 | W_stress | 3.6722 | 0.8620 |
| 540 | 0.006 | W_stress | 3.8280 | 0.9213 |
| 560 | 0.006 | W_stress | 4.0007 | 0.9446 |
| 580 | 0.006 | W_stress | 4.1566 | 0.9949 |
| 600 | 0.006 | W_stress | 4.3015 | 1.0109 |
| 620 | 0.006 | W_stress | 4.4276 | 1.0737 |
| 640 | 0.006 | W_stress | 4.5484 | 1.1466 |
| 660 | 0.006 | W_stress | 4.6813 | 1.2122 |
| 680 | 0.006 | W_stress | 4.7873 | 1.2719 |
| 700 | 0.006 | W_stress | 4.8724 | 1.2778 |
| 720 | 0.006 | W_stress | 4.9702 | 1.3148 |
| 740 | 0.006 | W_stress | 5.0547 | 1.3599 |
| 760 | 0.006 | W_stress | 5.1301 | 1.3640 |
| 780 | 0.006 | W_stress | 5.1970 | 1.3814 |
| 800 | 0.006 | W_stress | 5.2879 | 1.3995 |
| 820 | 0.006 | W_stress | 5.3790 | 1.4196 |
| 840 | 0.006 | W_stress | 5.4845 | 1.4397 |
| 860 | 0.006 | W_stress | 5.5904 | 1.4645 |
| 880 | 0.006 | W_stress | 5.6936 | 1.4663 |
| 900 | 0.006 | W_stress | 5.7580 | 1.4869 |
| 500 | 0.007 | W_stress | 4.0995 | 0.9395 |
| 520 | 0.007 | W_stress | 4.2841 | 1.0057 |
| 540 | 0.007 | W_stress | 4.4659 | 1.0748 |
| 560 | 0.007 | W_stress | 4.6674 | 1.1020 |
| 580 | 0.007 | W_stress | 4.8511 | 1.1597 |
| 600 | 0.007 | W_stress | 5.0202 | 1.1784 |
| 620 | 0.007 | W_stress | 5.1673 | 1.2516 |
| 640 | 0.007 | W_stress | 5.3082 | 1.3367 |
| 660 | 0.007 | W_stress | 5.4632 | 1.4132 |
| 680 | 0.007 | W_stress | 5.5870 | 1.4830 |
| 700 | 0.007 | W_stress | 5.6861 | 1.4898 |
| 720 | 0.007 | W_stress | 5.8003 | 1.5331 |
| 740 | 0.007 | W_stress | 5.8985 | 1.5852 |
| 760 | 0.007 | W_stress | 5.9865 | 1.5902 |
| 780 | 0.007 | W_stress | 6.0641 | 1.6102 |
| 800 | 0.007 | W_stress | 6.1694 | 1.6304 |
| 820 | 0.007 | W_stress | 6.2758 | 1.6539 |
| 840 | 0.007 | W_stress | 6.3988 | 1.6772 |
| 860 | 0.007 | W_stress | 6.5224 | 1.7061 |
| 880 | 0.007 | W_stress | 6.6427 | 1.7081 |
| 900 | 0.007 | W_stress | 6.7178 | 1.7317 |
| 500 | 0.008 | W_stress | 4.6851 | 1.0737 |
| 520 | 0.008 | W_stress | 4.8960 | 1.1493 |
| 540 | 0.008 | W_stress | 5.1037 | 1.2283 |
| 560 | 0.008 | W_stress | 5.3337 | 1.2596 |
| 580 | 0.008 | W_stress | 5.5405 | 1.3264 |
| 600 | 0.008 | W_stress | 5.7316 | 1.3470 |
| 620 | 0.008 | W_stress | 5.8849 | 1.4274 |
| 640 | 0.008 | W_stress | 6.0458 | 1.5266 |
| 660 | 0.008 | W_stress | 6.2225 | 1.6142 |
| 680 | 0.008 | W_stress | 6.3510 | 1.6947 |
| 700 | 0.008 | W_stress | 6.4638 | 1.7042 |
| 720 | 0.008 | W_stress | 6.5940 | 1.7519 |
| 740 | 0.008 | W_stress | 6.7044 | 1.8106 |
| 760 | 0.008 | W_stress | 6.8047 | 1.8161 |
| 780 | 0.008 | W_stress | 6.8772 | 1.8264 |
| 800 | 0.008 | W_stress | 7.0106 | 1.8555 |
| 820 | 0.008 | W_stress | 7.1444 | 1.8825 |
| 840 | 0.008 | W_stress | 7.2585 | 1.8931 |
| 860 | 0.008 | W_stress | 7.3993 | 1.9239 |
| 880 | 0.008 | W_stress | 7.5353 | 1.9284 |
| 900 | 0.008 | W_stress | 7.6342 | 1.9658 |
| 500 | 0.009 | W_stress | 5.2706 | 1.2079 |
| 520 | 0.009 | W_stress | 5.5078 | 1.2930 |
| 540 | 0.009 | W_stress | 5.7415 | 1.3818 |
| 560 | 0.009 | W_stress | 5.9999 | 1.4169 |
| 580 | 0.009 | W_stress | 6.2325 | 1.4920 |
| 600 | 0.009 | W_stress | 6.4472 | 1.5150 |
| 620 | 0.009 | W_stress | 6.6192 | 1.6050 |
| 640 | 0.009 | W_stress | 6.7997 | 1.7163 |
| 660 | 0.009 | W_stress | 6.9796 | 1.8042 |
| 680 | 0.009 | W_stress | 7.1422 | 1.9051 |
| 700 | 0.009 | W_stress | 7.2675 | 1.9145 |
| 720 | 0.009 | W_stress | 7.4140 | 1.9686 |
| 740 | 0.009 | W_stress | 7.5212 | 2.0252 |
| 760 | 0.009 | W_stress | 7.6341 | 2.0326 |
| 780 | 0.009 | W_stress | 7.7302 | 2.0514 |
| 800 | 0.009 | W_stress | 7.8587 | 2.0870 |
| 820 | 0.009 | W_stress | 8.0089 | 2.1165 |
| 840 | 0.009 | W_stress | 8.1441 | 2.1544 |
| 860 | 0.009 | W_stress | 8.2945 | 2.2048 |
| 880 | 0.009 | W_stress | 8.4409 | 2.2234 |
| 900 | 0.009 | W_stress | 8.5370 | 2.2521 |
| 500 | 0.010 | W_stress | 5.8555 | 1.3419 |
| 520 | 0.010 | W_stress | 6.1188 | 1.4363 |
| 540 | 0.010 | W_stress | 6.3784 | 1.5352 |
| 560 | 0.010 | W_stress | 6.6649 | 1.5740 |
| 580 | 0.010 | W_stress | 6.9232 | 1.6574 |
| 600 | 0.010 | W_stress | 7.1553 | 1.6960 |
| 620 | 0.010 | W_stress | 7.3464 | 1.7963 |
| 640 | 0.010 | W_stress | 7.5465 | 1.9198 |
| 660 | 0.010 | W_stress | 7.7464 | 2.0174 |
| 680 | 0.010 | W_stress | 7.9263 | 2.1293 |
| 700 | 0.010 | W_stress | 8.0551 | 2.1561 |
| 720 | 0.010 | W_stress | 8.2092 | 2.2334 |
| 740 | 0.010 | W_stress | 8.3283 | 2.2966 |
| 760 | 0.010 | W_stress | 8.4697 | 2.3132 |
| 780 | 0.010 | W_stress | 8.5764 | 2.3356 |
| 800 | 0.010 | W_stress | 8.7175 | 2.3792 |
| 820 | 0.010 | W_stress | 8.8842 | 2.4132 |
| 840 | 0.010 | W_stress | 9.0343 | 2.4563 |
| 860 | 0.010 | W_stress | 9.2013 | 2.5130 |
| 880 | 0.010 | W_stress | 9.3638 | 2.5356 |
| 900 | 0.010 | W_stress | 9.4705 | 2.5687 |
| 500 | 0.011 | W_stress | 6.4411 | 1.4761 |
| 520 | 0.011 | W_stress | 6.7294 | 1.5823 |
| 540 | 0.011 | W_stress | 7.0149 | 1.6912 |
| 560 | 0.011 | W_stress | 7.3112 | 1.7719 |
| 580 | 0.011 | W_stress | 7.5954 | 1.8649 |
| 600 | 0.011 | W_stress | 7.8479 | 1.9141 |
| 620 | 0.011 | W_stress | 8.0577 | 2.0239 |
| 640 | 0.011 | W_stress | 8.2778 | 2.1591 |
| 660 | 0.011 | W_stress | 8.4976 | 2.2667 |
| 680 | 0.011 | W_stress | 8.6955 | 2.3892 |
| 700 | 0.011 | W_stress | 8.8371 | 2.4194 |
| 720 | 0.011 | W_stress | 9.0066 | 2.5045 |
| 740 | 0.011 | W_stress | 9.1377 | 2.5740 |
| 760 | 0.011 | W_stress | 9.2932 | 2.5933 |
| 780 | 0.011 | W_stress | 9.4105 | 2.6184 |
| 800 | 0.011 | W_stress | 9.5657 | 2.6668 |
| 820 | 0.011 | W_stress | 9.7491 | 2.7051 |
| 840 | 0.011 | W_stress | 9.9141 | 2.7530 |
| 860 | 0.011 | W_stress | 10.0870 | 2.8019 |
| 880 | 0.011 | W_stress | 10.2481 | 2.8051 |
| 900 | 0.011 | W_stress | 10.3654 | 2.8435 |
| 500 | 0.012 | W_stress | 7.0151 | 1.6337 |
| 520 | 0.012 | W_stress | 7.3206 | 1.7676 |
| 540 | 0.012 | W_stress | 7.6323 | 1.8873 |
| 560 | 0.012 | W_stress | 7.9558 | 1.9768 |
| 580 | 0.012 | W_stress | 8.2690 | 2.0777 |
| 600 | 0.012 | W_stress | 8.5446 | 2.1330 |
| 620 | 0.012 | W_stress | 8.7736 | 2.2527 |
| 640 | 0.012 | W_stress | 9.0138 | 2.3997 |
| 660 | 0.012 | W_stress | 9.2537 | 2.5171 |
| 680 | 0.012 | W_stress | 9.4639 | 2.6409 |
| 700 | 0.012 | W_stress | 9.6186 | 2.6753 |
| 720 | 0.012 | W_stress | 9.7842 | 2.7398 |
| 740 | 0.012 | W_stress | 9.9272 | 2.8177 |
| 760 | 0.012 | W_stress | 10.0970 | 2.8418 |
| 780 | 0.012 | W_stress | 10.2251 | 2.8715 |
| 800 | 0.012 | W_stress | 10.3843 | 2.9148 |
| 820 | 0.012 | W_stress | 10.5651 | 2.9365 |
| 840 | 0.012 | W_stress | 10.7088 | 2.9529 |
| 860 | 0.012 | W_stress | 10.8637 | 2.9807 |
| 880 | 0.012 | W_stress | 11.0032 | 3.0011 |
| 900 | 0.012 | W_stress | 11.0659 | 3.0035 |
| 500 | 0.013 | W_stress | 7.5809 | 1.8099 |
| 520 | 0.013 | W_stress | 7.9118 | 1.9554 |
| 540 | 0.013 | W_stress | 8.2492 | 2.0859 |
| 560 | 0.013 | W_stress | 8.5992 | 2.1844 |
| 580 | 0.013 | W_stress | 8.9349 | 2.2962 |
| 600 | 0.013 | W_stress | 9.2333 | 2.3575 |
| 620 | 0.013 | W_stress | 9.4812 | 2.4866 |
| 640 | 0.013 | W_stress | 9.7112 | 2.5967 |
| 660 | 0.013 | W_stress | 9.9499 | 2.6947 |
| 680 | 0.013 | W_stress | 10.1628 | 2.8127 |
| 700 | 0.013 | W_stress | 10.3260 | 2.8530 |
| 720 | 0.013 | W_stress | 10.5054 | 2.9295 |
| 740 | 0.013 | W_stress | 10.6332 | 2.9916 |
| 760 | 0.013 | W_stress | 10.7858 | 2.9890 |
| 780 | 0.013 | W_stress | 10.9193 | 3.0242 |
| 800 | 0.013 | W_stress | 11.0504 | 3.0418 |
| 820 | 0.013 | W_stress | 11.2056 | 3.0467 |
| 840 | 0.013 | W_stress | 11.3197 | 3.0405 |
| 860 | 0.013 | W_stress | 11.3913 | 3.0260 |
| 880 | 0.013 | W_stress | 11.4250 | 2.9982 |
| 900 | 0.013 | W_stress | 11.4296 | 2.9887 |
| 500 | 0.014 | W_stress | 8.1466 | 1.9882 |
| 520 | 0.014 | W_stress | 8.5031 | 2.1451 |
| 540 | 0.014 | W_stress | 8.8664 | 2.2861 |
| 560 | 0.014 | W_stress | 9.2438 | 2.3931 |
| 580 | 0.014 | W_stress | 9.6027 | 2.5099 |
| 600 | 0.014 | W_stress | 9.9015 | 2.5424 |
| 620 | 0.014 | W_stress | 10.1459 | 2.6507 |
| 640 | 0.014 | W_stress | 10.3807 | 2.7571 |
| 660 | 0.014 | W_stress | 10.6378 | 2.8716 |
| 680 | 0.014 | W_stress | 10.8528 | 2.9933 |
| 700 | 0.014 | W_stress | 11.0125 | 3.0279 |
| 720 | 0.014 | W_stress | 11.1388 | 3.0543 |
| 740 | 0.014 | W_stress | 11.2031 | 3.0664 |
| 760 | 0.014 | W_stress | 11.3290 | 3.0489 |
| 780 | 0.014 | W_stress | 11.4203 | 3.0658 |
| 800 | 0.014 | W_stress | 11.4862 | 3.0557 |
| 820 | 0.014 | W_stress | 11.5348 | 3.0264 |
| 840 | 0.014 | W_stress | 11.5596 | 3.0208 |
| 860 | 0.014 | W_stress | 11.5654 | 3.0225 |
| 880 | 0.014 | W_stress | 11.5654 | 3.0225 |
| 900 | 0.014 | W_stress | 11.5654 | 3.0225 |
| 500 | 0.015 | W_stress | 8.7124 | 2.1680 |
| 520 | 0.015 | W_stress | 9.0943 | 2.3362 |
| 540 | 0.015 | W_stress | 9.4836 | 2.4876 |
| 560 | 0.015 | W_stress | 9.8576 | 2.5556 |
| 580 | 0.015 | W_stress | 10.2161 | 2.6475 |
| 600 | 0.015 | W_stress | 10.5362 | 2.6920 |
| 620 | 0.015 | W_stress | 10.7980 | 2.8165 |
| 640 | 0.015 | W_stress | 11.0469 | 2.9358 |
| 660 | 0.015 | W_stress | 11.2523 | 3.0062 |
| 680 | 0.015 | W_stress | 11.3566 | 3.0478 |
| 700 | 0.015 | W_stress | 11.4409 | 3.0353 |
| 720 | 0.015 | W_stress | 11.5246 | 3.0445 |
| 740 | 0.015 | W_stress | 11.5468 | 3.0496 |
| 760 | 0.015 | W_stress | 11.6164 | 3.0220 |
| 780 | 0.015 | W_stress | 11.6309 | 3.0252 |
| 800 | 0.015 | W_stress | 11.6427 | 3.0083 |
| 820 | 0.015 | W_stress | 11.6427 | 3.0083 |
| 840 | 0.015 | W_stress | 11.6427 | 3.0083 |
| 860 | 0.015 | W_stress | 11.6427 | 3.0083 |
| 880 | 0.015 | W_stress | 11.6427 | 3.0083 |
| 900 | 0.015 | W_stress | 11.6427 | 3.0083 |
| 500 | 0.016 | W_stress | 9.2781 | 2.3490 |
| 520 | 0.016 | W_stress | 9.6698 | 2.5027 |
| 540 | 0.016 | W_stress | 10.0487 | 2.6110 |
| 560 | 0.016 | W_stress | 10.4471 | 2.6944 |
| 580 | 0.016 | W_stress | 10.8294 | 2.8033 |
| 600 | 0.016 | W_stress | 11.1709 | 2.8597 |
| 620 | 0.016 | W_stress | 11.3911 | 2.9560 |
| 640 | 0.016 | W_stress | 11.5248 | 2.9935 |
| 660 | 0.016 | W_stress | 11.6481 | 3.0257 |
| 680 | 0.016 | W_stress | 11.6765 | 3.0283 |
| 700 | 0.016 | W_stress | 11.7422 | 3.0085 |
| 720 | 0.016 | W_stress | 11.7838 | 3.0183 |
| 740 | 0.016 | W_stress | 11.7838 | 3.0183 |
| 760 | 0.016 | W_stress | 11.7838 | 3.0183 |
| 780 | 0.016 | W_stress | 11.7838 | 3.0183 |
| 800 | 0.016 | W_stress | 11.7838 | 3.0183 |
| 820 | 0.016 | W_stress | 11.7838 | 3.0183 |
| 840 | 0.016 | W_stress | 11.7838 | 3.0183 |
| 860 | 0.016 | W_stress | 11.7838 | 3.0183 |
| 880 | 0.016 | W_stress | 11.7838 | 3.0183 |
| 900 | 0.016 | W_stress | 11.7838 | 3.0183 |
| 500 | 0.017 | W_stress | 9.8417 | 2.5277 |
| 520 | 0.017 | W_stress | 10.2107 | 2.6233 |
| 540 | 0.017 | W_stress | 10.6132 | 2.7498 |
| 560 | 0.017 | W_stress | 11.0055 | 2.8172 |
| 580 | 0.017 | W_stress | 11.4043 | 2.9429 |
| 600 | 0.017 | W_stress | 11.6887 | 2.9653 |
| 620 | 0.017 | W_stress | 11.7749 | 2.9871 |
| 640 | 0.017 | W_stress | 11.8251 | 2.9870 |
| 660 | 0.017 | W_stress | 11.8855 | 3.0004 |
| 680 | 0.017 | W_stress | 11.9101 | 3.0039 |
| 700 | 0.017 | W_stress | 11.9258 | 2.9965 |
| 720 | 0.017 | W_stress | 11.9258 | 2.9965 |
| 740 | 0.017 | W_stress | 11.9258 | 2.9965 |
| 760 | 0.017 | W_stress | 11.9258 | 2.9965 |
| 780 | 0.017 | W_stress | 11.9258 | 2.9965 |
| 800 | 0.017 | W_stress | 11.9258 | 2.9965 |
| 820 | 0.017 | W_stress | 11.9258 | 2.9965 |
| 840 | 0.017 | W_stress | 11.9258 | 2.9965 |
| 860 | 0.017 | W_stress | 11.9258 | 2.9965 |
| 880 | 0.017 | W_stress | 11.9258 | 2.9965 |
| 900 | 0.017 | W_stress | 11.9258 | 2.9965 |
| 500 | 0.018 | W_stress | 10.3609 | 2.6469 |
| 520 | 0.018 | W_stress | 10.7517 | 2.7582 |
| 540 | 0.018 | W_stress | 11.1388 | 2.8640 |
| 560 | 0.018 | W_stress | 11.5218 | 2.9254 |
| 580 | 0.018 | W_stress | 11.7883 | 2.9827 |
| 600 | 0.018 | W_stress | 11.9192 | 2.9337 |
| 620 | 0.018 | W_stress | 11.9453 | 2.9314 |
| 640 | 0.018 | W_stress | 11.9713 | 2.9331 |
| 660 | 0.018 | W_stress | 11.9858 | 2.9357 |
| 680 | 0.018 | W_stress | 11.9858 | 2.9357 |
| 700 | 0.018 | W_stress | 11.9858 | 2.9357 |
| 720 | 0.018 | W_stress | 11.9858 | 2.9357 |
| 740 | 0.018 | W_stress | 11.9858 | 2.9357 |
| 760 | 0.018 | W_stress | 11.9858 | 2.9357 |
| 780 | 0.018 | W_stress | 11.9858 | 2.9357 |
| 800 | 0.018 | W_stress | 11.9858 | 2.9357 |
| 820 | 0.018 | W_stress | 11.9858 | 2.9357 |
| 840 | 0.018 | W_stress | 11.9858 | 2.9357 |
| 860 | 0.018 | W_stress | 11.9858 | 2.9357 |
| 880 | 0.018 | W_stress | 11.9858 | 2.9357 |
| 900 | 0.018 | W_stress | 11.9858 | 2.9357 |
| 500 | 0.019 | W_stress | 10.8774 | 2.7761 |
| 520 | 0.019 | W_stress | 11.2476 | 2.8629 |
| 540 | 0.019 | W_stress | 11.6067 | 2.9566 |
| 560 | 0.019 | W_stress | 11.8281 | 2.9355 |
| 580 | 0.019 | W_stress | 11.9629 | 2.9402 |
| 600 | 0.019 | W_stress | 12.0361 | 2.8688 |
| 620 | 0.019 | W_stress | 12.0621 | 2.8715 |
| 640 | 0.019 | W_stress | 12.0621 | 2.8715 |
| 660 | 0.019 | W_stress | 12.0621 | 2.8715 |
| 680 | 0.019 | W_stress | 12.0621 | 2.8715 |
| 700 | 0.019 | W_stress | 12.0621 | 2.8715 |
| 720 | 0.019 | W_stress | 12.0621 | 2.8715 |
| 740 | 0.019 | W_stress | 12.0621 | 2.8715 |
| 760 | 0.019 | W_stress | 12.0621 | 2.8715 |
| 780 | 0.019 | W_stress | 12.0621 | 2.8715 |
| 800 | 0.019 | W_stress | 12.0621 | 2.8715 |
| 820 | 0.019 | W_stress | 12.0621 | 2.8715 |
| 840 | 0.019 | W_stress | 12.0621 | 2.8715 |
| 860 | 0.019 | W_stress | 12.0621 | 2.8715 |
| 880 | 0.019 | W_stress | 12.0621 | 2.8715 |
| 900 | 0.019 | W_stress | 12.0621 | 2.8715 |
| 500 | 0.020 | W_stress | 11.3267 | 2.8618 |
| 520 | 0.020 | W_stress | 11.6408 | 2.9243 |
| 540 | 0.020 | W_stress | 11.8224 | 2.9358 |
| 560 | 0.020 | W_stress | 11.9719 | 2.8871 |
| 580 | 0.020 | W_stress | 12.0241 | 2.8788 |
| 600 | 0.020 | W_stress | 12.0642 | 2.8338 |
| 620 | 0.020 | W_stress | 12.0642 | 2.8338 |
| 640 | 0.020 | W_stress | 12.0642 | 2.8338 |
| 660 | 0.020 | W_stress | 12.0642 | 2.8338 |
| 680 | 0.020 | W_stress | 12.0642 | 2.8338 |
| 700 | 0.020 | W_stress | 12.0642 | 2.8338 |
| 720 | 0.020 | W_stress | 12.0642 | 2.8338 |
| 740 | 0.020 | W_stress | 12.0642 | 2.8338 |
| 760 | 0.020 | W_stress | 12.0642 | 2.8338 |
| 780 | 0.020 | W_stress | 12.0642 | 2.8338 |
| 800 | 0.020 | W_stress | 12.0642 | 2.8338 |
| 820 | 0.020 | W_stress | 12.0642 | 2.8338 |
| 840 | 0.020 | W_stress | 12.0642 | 2.8338 |
| 860 | 0.020 | W_stress | 12.0642 | 2.8338 |
| 880 | 0.020 | W_stress | 12.0642 | 2.8338 |
| 900 | 0.020 | W_stress | 12.0642 | 2.8338 |
mafruit en fonction de stdrpmat et vitircarb, facettée par run set.
mafruit (t MS/ha) par rapport aux observations, en fonction de stdrpmat et vitircarb, facettée par run set.
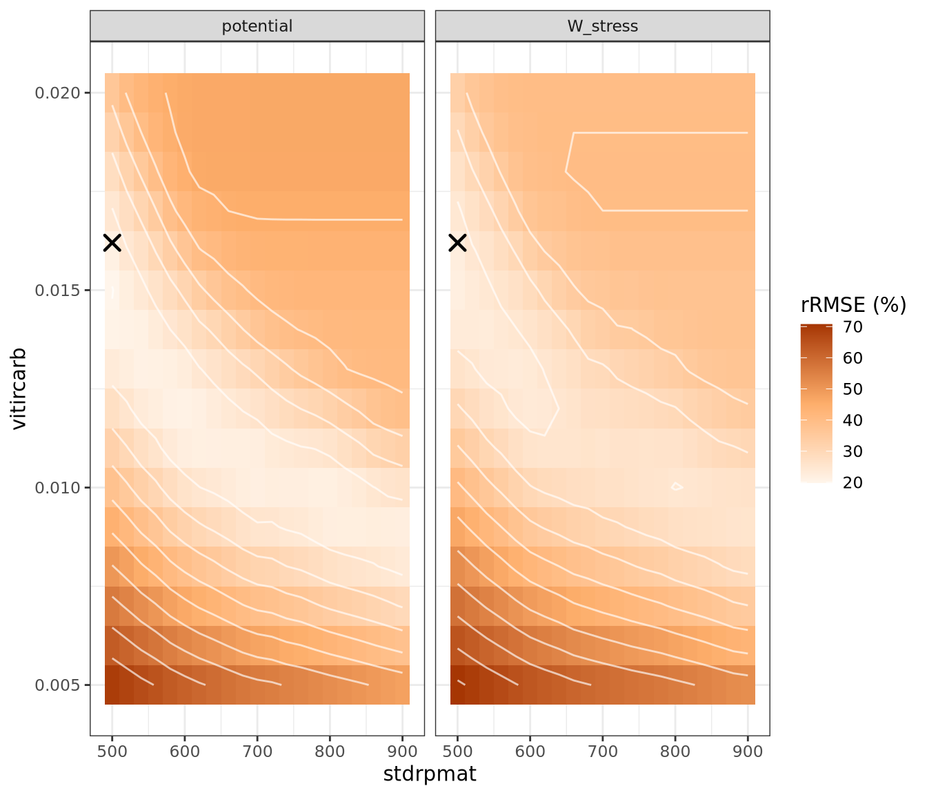
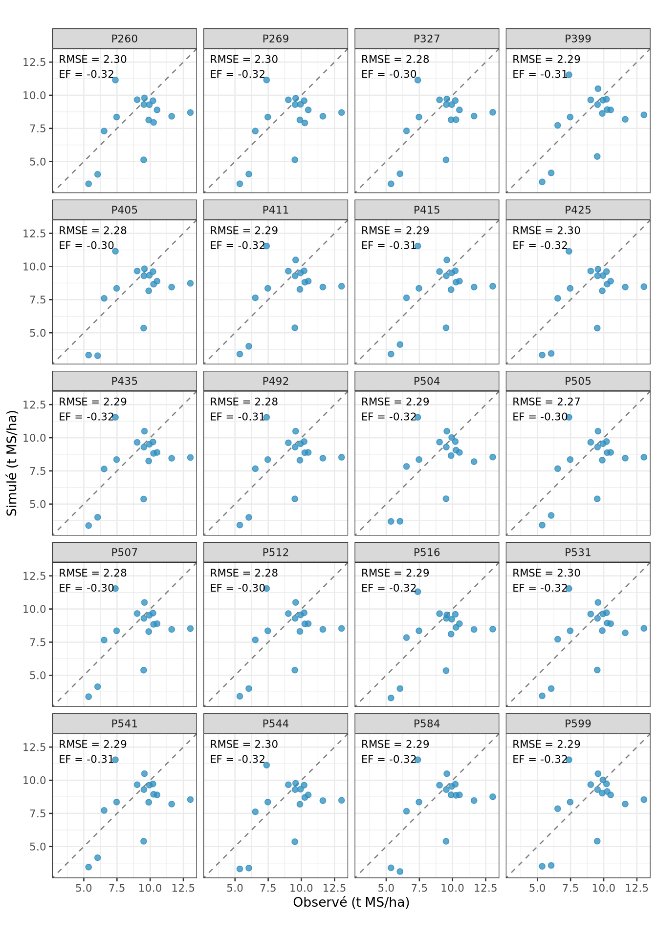
La rRMSE est définie ici comme RMSE / moyenne(obs) × 100. Elle exprime donc l’erreur en pourcentage du niveau moyen observé.
mafruit (%) par rapport aux observations, en fonction de stdrpmat et vitircarb, facettée par run set.
L’EF (model efficiency, ou efficience de Nash-Sutcliffe) compare les simulations au prédicteur trivial obs = moyenne(obs).
EF = 1 : simulation parfaiteEF = 0 : le modèle fait aussi bien que la moyenne des observationsEF < 0 : le modèle fait moins bien que cette moyennePlus EF est élevé, meilleure est la qualité prédictive du modèle sur les observations considérées.
EF (Nash-Sutcliffe) pour mafruit, en fonction de stdrpmat et vitircarb, facettée par run set.
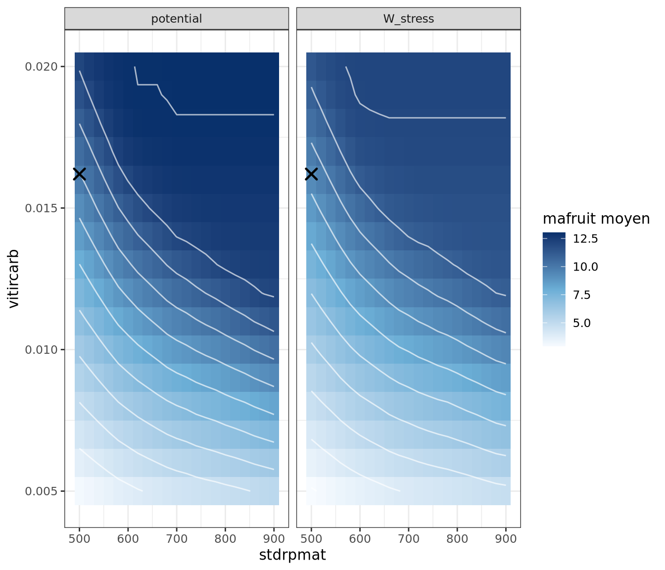
mafruit moyen pour stdrpmat et vitircarb autour de la zone calibrée.
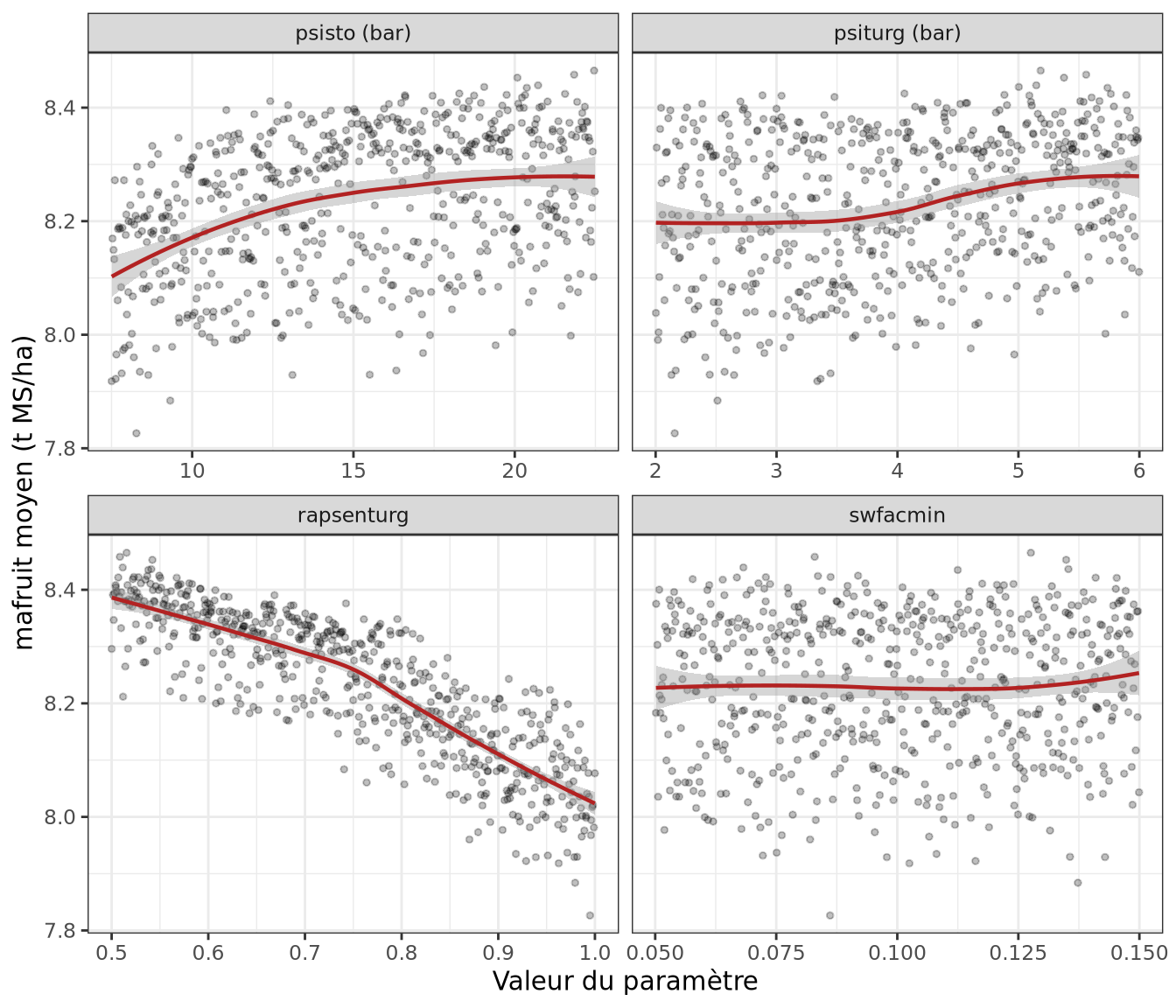
potential| point_id | psisto | psiturg | swfacmin | rapsenturg | mafruit_mean | |
|---|---|---|---|---|---|---|
| 95 | 1 | 8.375 | 4.997 | 0.098 | 0.577 | 8.983 |
| 80 | 2 | 8.416 | 4.026 | 0.121 | 0.565 | 8.983 |
| 336 | 3 | 9.492 | 3.092 | 0.123 | 0.774 | 9.007 |
| 162 | 4 | 9.781 | 3.594 | 0.065 | 0.632 | 9.039 |
| 384 | 5 | 10.228 | 5.677 | 0.122 | 0.813 | 9.052 |
| 219 | 6 | 10.420 | 4.312 | 0.130 | 0.679 | 9.068 |
| 247 | 7 | 15.791 | 3.167 | 0.115 | 0.702 | 9.085 |
| 293 | 8 | 19.275 | 4.663 | 0.102 | 0.739 | 9.142 |
| 528 | 9 | 20.912 | 3.515 | 0.101 | 0.932 | 9.157 |
| 11 | 10 | 21.841 | 5.560 | 0.083 | 0.509 | 9.177 |
sd = 0.071. Comme sd < 0.1, les paramètres hydriques sont bien inertes en conditions potentielles.
mafruit
mafruit) dans le run set W_stress.
mafruit_mean dans le run set W_stress.
mafruit) pour le LHS hydrique (W_stress), comparée au potentiel et à l’étendue des observations.
Les lignes verticales indiquent la moyenne simulée en potential (trait noir tireté) ainsi que le minimum et le maximum observés sur le réseau IVD (traits pointillés rouges).
mafruit_mean.
W_stress avec la plus faible RMSE.